lecture key point
- 왜 RNN이 등장했을까?
- RNN의 문제점이 뭐였을까?
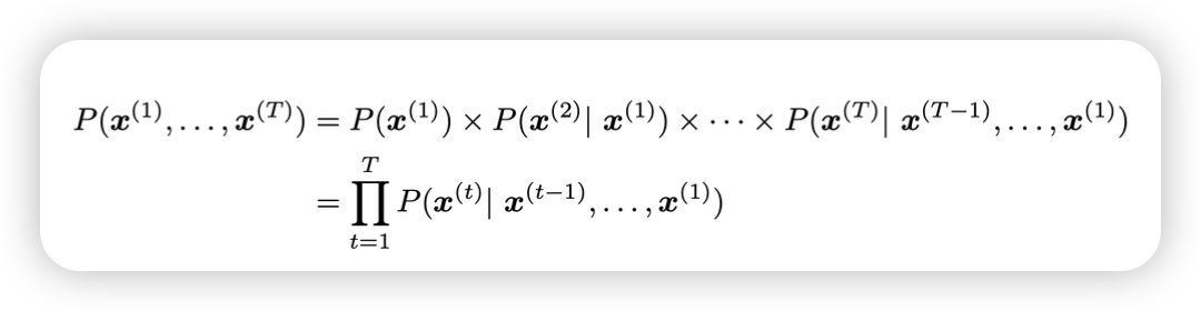
Language Model
언어모델은 현재 문맥에서 다음 단어가 뭐가 나올지 예측하는 모델

usage
- Predictive typing
- Speech recognition
- Handwriting recognition
- Spelling/grammar correction
- Authorship identification
- Machine translation
- Summarization
- Dialogue
next-word prediction으로 무슨 태스크를 수행할 수 있을까?
- trivia
- syntax
- coreferene
- lexical semantics/topic
- sentiment
- reasoning (hard…)
- basic arithmetic
GPT2
Stylistically correct, content wise, questionable
GPT3
in-context learning이 가능해졌다! backround로 정보를 미리 가지고 question에 대답이 가능해짐
N-gram Language Model
GPT 전에 아주 고전적인 모델들
확률은 어캐 구하는데요? corpus에서 개수 세요…
뭐가 문제였을까요?
sparsity problem
- 자주 등장하지 않는 단어들(count가 적은)은 확률이 0임 → smoothing으로 개선
- 애초에 context가 없었다면? → backoff (n-1 gram으로 처리)
storage problem corpus를 확장하면 할수록, 문장이 길어질 수록, count를 저장하기 어려워짐
generating text은 어떨까?
incoherent. We need to consider more than three words at a time if we want to model language well.
But increasing n worsens sparsity problem, and increases model size…
evaluation metric
- perplexity : 낮으면, corpus에서 해당 context가 나올 확률이 높다! → 모델링 잘했네~
neural language model은 어땟는감
- window-based neural model

A fixed-window neural Language Model

- 가운데 단어가 아닌, 앞선 단어로 window input으로 넣는다!
- NER이랑 뭐가 다름? → output이 실수였던 거랑 다르게 얘는 vector
sparsity problem이 해결되엇음→ 왜 why???- storage 문제 해결
- fixed window 가 커지기 어려움 (flexible한 input은 안됌)
- input의 순서가 보장되지 않는다.
RNN

- 현재 시점에 들어온 input을 처리하는데, 이전 context도 반영한다!
- I have fruit →
fruit처리시에I have도 같이 반영됌
- I have fruit →

-
word embedding을 위한 E metric
-
hidden layer는 옛날엔 sigmoid나 hyper tanh썻음
-
마지막 layer에서 값을 통해서 vector 출력
- 이전 layer를 flexible하게 늘릴수 있음 → window size 변경 가능
- 모델 사이즈가 크게 늘어나지 않는다 (결국 , 만 하니까)
-
순서에 대한 정보도 활용
-
Recurrent 연산은 느리다.. (한번에 한 step씩 순서대로 처리)
-
너무 이전의 step에 있는 정보는 전파가 잘 안된다
Train RNN
Teacher Forcing (정답지 가지고 옆에서 계속 훈수두기)
forward
- load big corpus
- compute output distribution
- loss function(cross entropy) negative log probablity
- loss의 평균을 구함

실제론
- 전체 corpus를 하기엔 너무 힘듬
- sentece, document 단위로 자른다!
backward
output을 내는데 어느놈들이 영향을 미쳤는가?

Multivariable Chain Rule
두개의 변수로 이루어진 함수의 gradient는 각자의 변수로 미분한 값의 합임

backpropagation through time
RNN으로 Generating 해볼까?

- ngram보다 낫배드한데용?
vanishing gradient
- 중간 step에 있는 gradient값이 너무 작은 경우
- 누적해서 곱하기 때문에 최종적으로 propagation될 gradient가 거의 희미해짐
결국, long-term인 경우에 이전 맥락을 잘 반영하지 못하는 경우가 많아졌음
수식 증명

- 결국 의 경우 거리가 멀수록 0에 수렴하는 걸 확인할 수잇음
- 게다가 우리는 non-linear function을 쓰기때문에 0에 더욱더 가까워짐
Solution
- 새로운 모델 아키텍처 : 기존 이전 input만 받는 vanilla RNN에서 별도의 메모리를 만들자
- LSTM
exploding gradient

- gradient가 너무 크게 되면, 너무 이상한 포인트로 넘어가서 못돌아올 수도
- RNN만의 문제가 아니긴 함
Inf,NaN이 떠서 실패한 경우도 있다
Solutuon
- Gradient Clipping
- threshold보다 벡터 크기 넘으면 방향은 두고 크기만 줄임
-
Intuition